来源:罗说NBA
2026-01-20 08:09:11
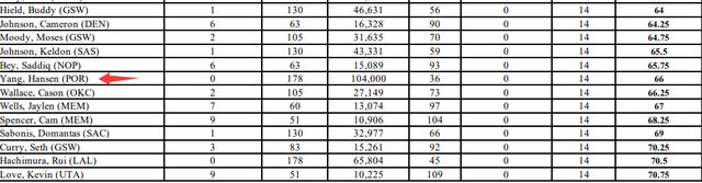
北京时间1月20日,北京时间1月20日,NBA官方公布了2026年全明星赛的首发阵容。西部首发是亚历山大、约基奇、东契奇、文班亚马和库里,东部首发是字母哥、坎宁安、布伦森、马克西和杰伦-布朗。随后,NBA官方公布了具体票数。东契奇得到3402967票,成为票王。杨瀚森得到104000票,在球迷投票部分,排名联盟第36位。


杨瀚森的媒体票和球员票均为零,2026年NBA全明星赛首发球员由球迷、现役NBA球员以及媒体评审团共同选出。球迷投票占首发人选评选权重的50%,球员与媒体投票各占25%。所有投票统计完毕后,球员将按照投票群体划分,在东西部两个联盟内分别进行排名。每位球员的最终得分,由其在球迷投票、球员投票和媒体投票中的加权排名取平均值计算得出。
球员得分的权重分配为球迷投票占50%、球员投票占25%、媒体投票占25%,具体计算公式为:(球迷排名×2+球员排名+媒体排名)÷4
杨瀚森的加权得分是66(分越低排名越高,比如约基奇是1.75),在他后一位是雷霆的卡森-华莱士,在他前一位是鹈鹕的萨迪克-贝。
杨瀚森今日已经被开拓者下放到发展联盟,将继续为混音出战比赛。过去两场发展联盟比赛,杨瀚森场均18分12篮板,分别创得分新高(22)和篮板新高(17)。
相关新闻
最后1分钟落后9分的大逆转,他统治加时赛!曾绝杀詹姆斯一球成名
来源 : 阿浪的篮球故事2026-01-24 20:18:55
37岁背靠背连打40+分钟,杜兰特:感谢教练组和训练团队让我状态在线
来源 : 懂球帝2026-01-24 20:18:51
掀翻东部第一!杜兰特背靠背85分钟!三分命中数升至历史第11
来源 : 篮球教学论坛2026-01-24 20:18:46
4+1+1失误!一个赛季就打2场,变第一诈骗犯了
来源 : 贵圈真乱2026-01-24 20:18:42
球探:湖人在科比末期一塌糊涂!他们在詹姆斯加盟前就是个笑话!
来源 : 氧气是个地铁2026-01-24 20:18:35
蒂格:东契奇比06年的韦德更强,韦德当年的队友强于东契奇
来源 : 懂球帝2026-01-24 20:18:32
联盟第1不敌联盟倒1!SGA轰47+4吞耻辱一役雷霆冲70胜都成奢求
来源 : 颜小白的篮球梦2026-01-24 20:18:23
拓记:杨瀚森赛前训练加入结合球突破,内容明显更偏向锋线
来源 : 懂球帝2026-01-24 20:18:22
杨瀚森NBA常规赛登场7分11秒3篮板,开拓者98110不敌猛龙
来源 : 鲁中晨报2026-01-24 20:18:20
乌度卡:背靠背一扫上一场阴霾打出了韧性,替补的表现很出色
来源 : 懂球帝2026-01-24 20:18:14